Immigration History Questionnaire Westminster . When did you first enter the u.s.? Web in order for us to proceed with your application, we need to ask you a few questions about your immigration history. When was the last time? Web if you have any questions or experience any issues, please contact askgpo. If you are coming to the uk to study a full time degree you may need to apply for a student visa. Web evidence of your employment history can include payslips or a contract if you are currently or recently employed. Web some applicants may be interviewed at random, whereas others may be invited for an interview based on their. Web as part of your application you might need to complete our immigration history questionnaire. Web applications for the standard visitor visa can be submitted outside uk only, in the country where the applicant holds a valid.
from imobiohlawoffice.com
Web as part of your application you might need to complete our immigration history questionnaire. Web in order for us to proceed with your application, we need to ask you a few questions about your immigration history. Web evidence of your employment history can include payslips or a contract if you are currently or recently employed. Web if you have any questions or experience any issues, please contact askgpo. If you are coming to the uk to study a full time degree you may need to apply for a student visa. When did you first enter the u.s.? Web applications for the standard visitor visa can be submitted outside uk only, in the country where the applicant holds a valid. When was the last time? Web some applicants may be interviewed at random, whereas others may be invited for an interview based on their.
IMMIGRATION INTAKE QUESTIONNAIRE Law Offices of Omonzusi Imobioh
Immigration History Questionnaire Westminster Web as part of your application you might need to complete our immigration history questionnaire. Web evidence of your employment history can include payslips or a contract if you are currently or recently employed. Web some applicants may be interviewed at random, whereas others may be invited for an interview based on their. When did you first enter the u.s.? If you are coming to the uk to study a full time degree you may need to apply for a student visa. When was the last time? Web if you have any questions or experience any issues, please contact askgpo. Web applications for the standard visitor visa can be submitted outside uk only, in the country where the applicant holds a valid. Web in order for us to proceed with your application, we need to ask you a few questions about your immigration history. Web as part of your application you might need to complete our immigration history questionnaire.
From twitter.com
Immigration History Calendar (immigrationcal) / Twitter Immigration History Questionnaire Westminster Web if you have any questions or experience any issues, please contact askgpo. Web evidence of your employment history can include payslips or a contract if you are currently or recently employed. When did you first enter the u.s.? Web in order for us to proceed with your application, we need to ask you a few questions about your immigration. Immigration History Questionnaire Westminster.
From www.scribd.com
Immigration Questionnaire English PDF Immigration History Questionnaire Westminster Web if you have any questions or experience any issues, please contact askgpo. If you are coming to the uk to study a full time degree you may need to apply for a student visa. When was the last time? Web some applicants may be interviewed at random, whereas others may be invited for an interview based on their. Web. Immigration History Questionnaire Westminster.
From celpip.biz
Canada Immigration Interview Questions and Answers Immigration History Questionnaire Westminster When did you first enter the u.s.? When was the last time? Web evidence of your employment history can include payslips or a contract if you are currently or recently employed. Web in order for us to proceed with your application, we need to ask you a few questions about your immigration history. Web some applicants may be interviewed at. Immigration History Questionnaire Westminster.
From immigrationhistory.org
Nationality Act of 1790 Immigration History Immigration History Questionnaire Westminster Web if you have any questions or experience any issues, please contact askgpo. Web applications for the standard visitor visa can be submitted outside uk only, in the country where the applicant holds a valid. Web evidence of your employment history can include payslips or a contract if you are currently or recently employed. When was the last time? Web. Immigration History Questionnaire Westminster.
From www.studocu.com
Italian Emigration Emigration & Immigration History of Emigration Immigration History Questionnaire Westminster If you are coming to the uk to study a full time degree you may need to apply for a student visa. Web as part of your application you might need to complete our immigration history questionnaire. Web if you have any questions or experience any issues, please contact askgpo. Web evidence of your employment history can include payslips or. Immigration History Questionnaire Westminster.
From studylib.net
Immigration Questionnaire (English Version) Immigration History Questionnaire Westminster Web as part of your application you might need to complete our immigration history questionnaire. Web evidence of your employment history can include payslips or a contract if you are currently or recently employed. Web some applicants may be interviewed at random, whereas others may be invited for an interview based on their. When did you first enter the u.s.?. Immigration History Questionnaire Westminster.
From kidsdiscover.com
Immigration Kids Discover Immigration History Questionnaire Westminster Web evidence of your employment history can include payslips or a contract if you are currently or recently employed. Web applications for the standard visitor visa can be submitted outside uk only, in the country where the applicant holds a valid. When did you first enter the u.s.? Web if you have any questions or experience any issues, please contact. Immigration History Questionnaire Westminster.
From www.yumpu.com
1. American Immigration i Immigration History Questionnaire Westminster When was the last time? Web as part of your application you might need to complete our immigration history questionnaire. If you are coming to the uk to study a full time degree you may need to apply for a student visa. Web applications for the standard visitor visa can be submitted outside uk only, in the country where the. Immigration History Questionnaire Westminster.
From www.pdffiller.com
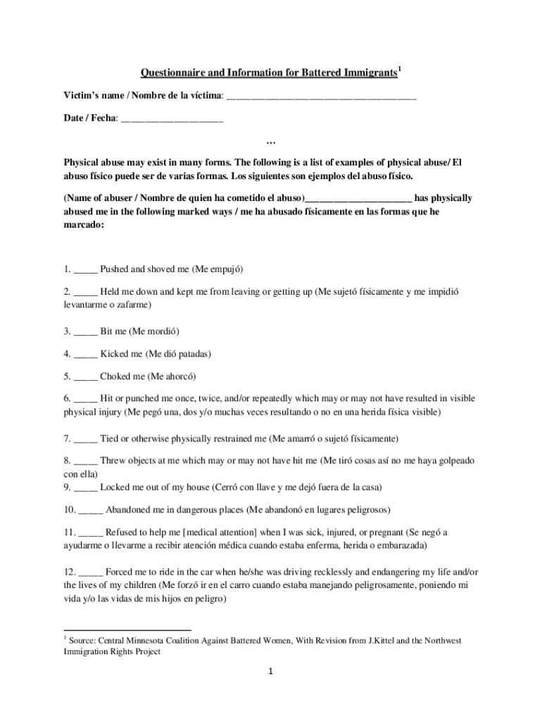
Fillable Online Questionnaire and Information for Battered Immigrants Immigration History Questionnaire Westminster When was the last time? Web evidence of your employment history can include payslips or a contract if you are currently or recently employed. Web if you have any questions or experience any issues, please contact askgpo. Web applications for the standard visitor visa can be submitted outside uk only, in the country where the applicant holds a valid. If. Immigration History Questionnaire Westminster.
From pier21.ca
Index Canadian Museum of Immigration at Pier 21 Immigration History Questionnaire Westminster When was the last time? If you are coming to the uk to study a full time degree you may need to apply for a student visa. Web if you have any questions or experience any issues, please contact askgpo. Web some applicants may be interviewed at random, whereas others may be invited for an interview based on their. Web. Immigration History Questionnaire Westminster.
From imobiohlawoffice.com
IMMIGRATION INTAKE QUESTIONNAIRE Law Offices of Omonzusi Imobioh Immigration History Questionnaire Westminster Web applications for the standard visitor visa can be submitted outside uk only, in the country where the applicant holds a valid. When did you first enter the u.s.? If you are coming to the uk to study a full time degree you may need to apply for a student visa. Web if you have any questions or experience any. Immigration History Questionnaire Westminster.
From www.studocu.com
Problems with U.S. Immigration History notes The history of Immigration History Questionnaire Westminster Web some applicants may be interviewed at random, whereas others may be invited for an interview based on their. If you are coming to the uk to study a full time degree you may need to apply for a student visa. When was the last time? Web as part of your application you might need to complete our immigration history. Immigration History Questionnaire Westminster.
From www.slideshare.net
Preliminary Immigration Questionnaire Immigration History Questionnaire Westminster Web if you have any questions or experience any issues, please contact askgpo. Web some applicants may be interviewed at random, whereas others may be invited for an interview based on their. When did you first enter the u.s.? Web evidence of your employment history can include payslips or a contract if you are currently or recently employed. If you. Immigration History Questionnaire Westminster.
From www.slideshare.net
Preliminary Immigration Questionnaire Immigration History Questionnaire Westminster If you are coming to the uk to study a full time degree you may need to apply for a student visa. Web in order for us to proceed with your application, we need to ask you a few questions about your immigration history. Web if you have any questions or experience any issues, please contact askgpo. Web evidence of. Immigration History Questionnaire Westminster.
From teachsimple.com
"Immigration" Civic Literacy Essay Week 30, by Teach Simple Immigration History Questionnaire Westminster Web applications for the standard visitor visa can be submitted outside uk only, in the country where the applicant holds a valid. When did you first enter the u.s.? Web as part of your application you might need to complete our immigration history questionnaire. When was the last time? Web evidence of your employment history can include payslips or a. Immigration History Questionnaire Westminster.
From www.scribd.com
Immigration History of Australia PDF Immigration History Questionnaire Westminster Web some applicants may be interviewed at random, whereas others may be invited for an interview based on their. When was the last time? When did you first enter the u.s.? Web as part of your application you might need to complete our immigration history questionnaire. Web evidence of your employment history can include payslips or a contract if you. Immigration History Questionnaire Westminster.
From gormanlibrary.weebly.com
Immigration Mrs. Gorman's Library Immigration History Questionnaire Westminster Web some applicants may be interviewed at random, whereas others may be invited for an interview based on their. Web if you have any questions or experience any issues, please contact askgpo. When was the last time? Web in order for us to proceed with your application, we need to ask you a few questions about your immigration history. Web. Immigration History Questionnaire Westminster.
From immigrationlab.org
Increasing Immigrant Inclusion Family History, Empathy, and Immigration History Questionnaire Westminster Web as part of your application you might need to complete our immigration history questionnaire. Web evidence of your employment history can include payslips or a contract if you are currently or recently employed. When did you first enter the u.s.? If you are coming to the uk to study a full time degree you may need to apply for. Immigration History Questionnaire Westminster.